This is a demo store. No orders will be fulfilled.
Explore the Industrialization Process of SOS1 Inhibitor MRTX0902
Sandra Forbes
Product Manager

Research Background
MRTX0902 (M612078) is a highly effective SOS1:KRAS complex inhibitor that exhibits excellent brain penetration, high oral bioavailability, and strong selectivity. When combined with MRTX849 (1,2)-adagrasib (KRAZATI), it can significantly enhance its anti-tumor activity.
Currently, MRTX0902 is in the phase I clinical trial stage for cancer treatment. Due to its complex molecular structure, including a pyridino[3,4-d]pyridazine core and a chiral amine molecule, large-scale preparation of this drug to support clinical research has been extremely challenging. However, recently, Professor Thomas Scattolin and his team have successfully developed an efficient and scalable synthetic method for the key intermediate, 4-methyl-7-morpholinopyridino[3,4-d]pyridazine-1(2H)-one. This breakthrough not only enables large-scale synthesis of MRTX0902 but also significantly optimizes its ultimate application prospects.

Developing a Synthetic Route
Researchers have successfully developed a novel, efficient, and cost-effective production process for MRTX0902 fumarate. They utilized low-cost and easily accessible 2-chloroisonicotinic acid 14 (C101720) as the starting material and, through a carefully designed eight-step process, achieved the preparation of multi-kilogram batches of MRTX0902 fumarate 13. Compared to traditional large-scale preparation methods using non-commercial starting materials, the total yield of the new process has significantly increased to 44%, up from just 18% previously. Additionally, the fumarate formation step in the new process significantly shortened the production cycle by three times, while reducing solvent usage by tenfold and increasing productivity by more than 50 times. Even more noteworthy, the new process maintained a high degree of consistency in the quality and physical properties of the active pharmaceutical ingredient. By employing efficient purification steps and strict process control, the purity of MRTX0902 fumarate produced by the new process exceeded 99.7%, laying a solid foundation for the subsequent research and development as well as application of the drug.

Synthetic route for MRTX0902 fumarate
Initially, the synthetic route designed by researchers for MRTX0902 successfully synthesized several kilograms of key intermediates, providing ample active pharmaceutical ingredients (APIs) for early-stage research. However, in order to produce multi-kilogram batches of the active pharmaceutical ingredient to meet the demands of GLP toxicology and FIH studies, further optimization and improvement of this route were still necessary.

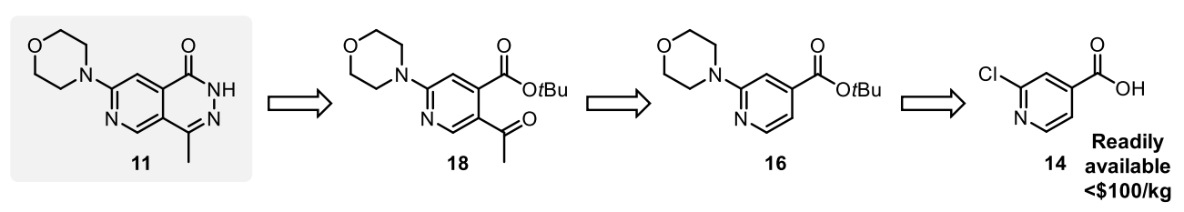
Drug discovery pathway for MRTX0902
The process development focused on the preparation of MRTX0902 fumarate 13. 1,7-Dichloro-4-methylpyridazino[3,4-d]pyridazine 6 was selected as the key intermediate and synthesized accordingly. Meanwhile, delicate modifications and optimizations were made to the final steps. Specifically, leveraging the instability of chlorophthalazine 6, the chlorine atom was replaced with a hydroxyl group using acetic acid at 80°C to produce phthalazinone 10. Subsequently, in DMAc, phthalazinone 10 was reacted with morpholine to successfully synthesize 4-methyl-7-morpholinopyridazino[3,4-d]pyridazin-1(2H)-one 11. This sequence of reaction steps enhanced production efficiency and ensured high purity and quality of the product.

Improved synthetic route for the first kilogram-scale delivery of MRTX0902 fumarate
To overcome the supply challenges of the starting material, researchers dedicated themselves to exploring a new synthetic route and utilizing more accessible precursors for the development of fumaric acid MRTX0902. By introducing morpholine early in the process, they successfully avoided the need for methoxy protecting groups. Given the excellent directional properties of the morpholine substituent, combined with the substitution pattern of the pyridine core, the researchers predicted that the electrophilic bromination reaction would occur with high selectivity at the desired position. Following halogen-metal exchange, the organic metal species was captured using an acetyl source, enabling the facile condensation of the generated pyridine 18 with hydrazine to yield phthalazinone 11. This series of innovations and improvements not only enhanced the efficiency of the synthesis but also laid a solid foundation for subsequent drug development.

Retrosynthetic analysis of key intermediate 11
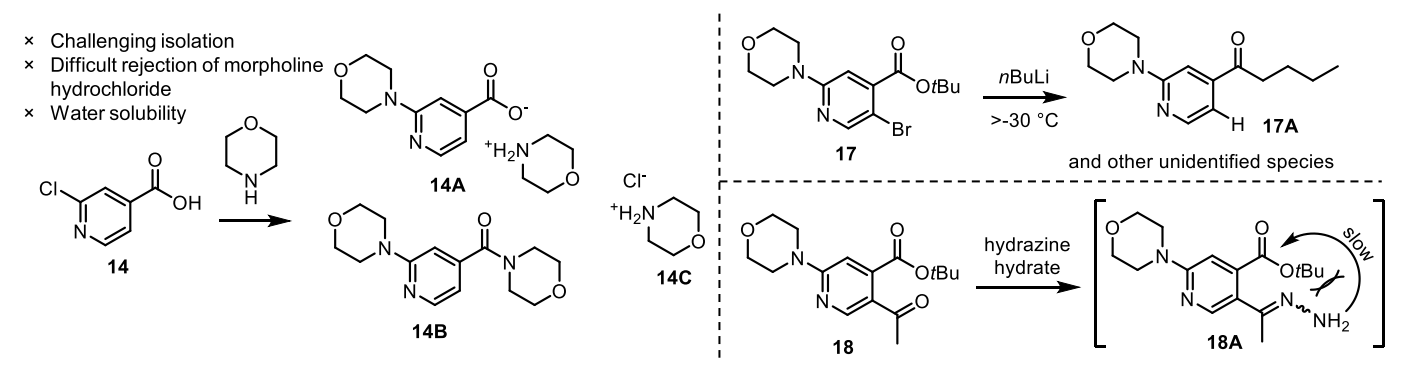
To optimize the preparation process of compound 11, researchers adopted the following strategies: Firstly, they utilized Boc2O and triethylamine to convert 2-chloroisonicotinic acid 14 into its tert-butyl ester, resulting in the formation of 2-chloroisonicotinic acid tert-butyl ester 15 with a high isolated yield of 91%. Subsequently, they conducted an in-depth investigation into the SNAr reaction and discovered that morpholine served as the most effective solvent. Therefore, they treated compound 15 in morpholine and successfully obtained 2-morpholinylisonicotinic acid tert-butyl ester 16, achieving an equally impressive isolated yield of 97%. This series of optimization measures not only enhanced the preparation efficiency but also ensured high purity of the product, laying a solid foundation for subsequent synthesis steps.

Challenges encountered during process development
During the process development, the tert-butyl shift formed butanone 17A and other unknown by-products when the reaction was conducted at higher temperatures, posing an urgent problem to be addressed. To overcome this challenge, researchers introduced a milder organometallic species, such as iPrMgCl.LiCl (discovered and popularized by the Knochel group and known as "Turbo Grignard"), for the transformation. This strategy effectively reduced the formation of by-products, improved the purity and yield of the target product, and thus facilitated further optimization and stabilization of the process.

Optimization of the metal/halogen exchange reaction for 17a
Under optimized conditions, we successfully reacted compound 18 with hydrazine hydrate in the presence of acetic acid in ethanol, yielding 4-methyl-7-morpholinopyridazino[3,4-d]pyridazine-1(2H)-one 11 with an isolated yield of up to 94% after pharmaceutical effect adjustment. Notably, in the synthesis of 4-methyl-7-morpholinopyridazino[3,4-d]pyridazine-1(2H)-one 11, we utilized cheaply available 2-chloroisonicotinic acid as the starting material, employing cost-effective reagents throughout the process and avoiding the use of extreme temperatures (T < -60 or T > 120°C). After five steps, we achieved an excellent overall yield of 60%. This step has been validated multiple times on a few kilograms scale, consistently producing high-purity key intermediate 11, providing an ideal choice for the final synthesis of fumaric acid MRTX0902.

An optimized and cost-effective synthetic route to intermediate 11
However, directly adding fumaric acid as a solid was not ideal. Therefore, we opted to introduce fumaric acid in the form of a 95/5 ethanol/water solution. Due to the low solubility of fumaric acid in this solution, a large amount of solvent was required. To better control the crystallization process, we also added seed material of MRTX0902 fumarate 13. This allowed the crystallization process to initiate smoothly upon the slow and controlled addition of the fumaric acid solution. Ultimately, we successfully isolated MRTX0902 fumarate 13 with a pharmaceutical effect adjustment yield of up to 97% and minimal loss of mother liquor. This improvement not only enhanced production efficiency but also reduced costs, laying a solid foundation for subsequent industrial-scale production.
Conclusions
Through deep optimization and simplification of the preparation steps from compound 18 to MRTX0902 fumarate 13, we have successfully achieved the ability to produce multi-kilogram quantities of MRTX0902 fumarate with high yield and purity under GMP conditions. This significant breakthrough ensures that the clinical research team can obtain stable and reliable quality and quantity of the active pharmaceutical ingredient, thereby facilitating the smooth progress of the MRTX0902 drug development process.
References
1. Thomas Scattolin. et al. Process Development and Scale-Up of the SOS1 Inhibitor MRTX0902. Org. Process Res. Dev. 2023, 27, 6, 1061-1068. https://doi.org/10.1021/acs.oprd.3c00030.
Aladdin’s website: https://www.aladdinsci.com/