This is a demo store. No orders will be fulfilled.
Fluorescent Probes - Absorption and Fluorescence
Light Absorption
Besides the optical phenomena of refraction, scattering, interference, and diffraction in partially or totally transparent objects, which can result in colour impressions such as rainbows, sky blue, sparkling soap bubbles, gorgeous peacock feathers, or thin oil films and layers, the colours of our surroundings mainly come from the absorption or reflection of light.
The colour of matter is a result of selectively absorbing light from the visible portion of the electromagnetic radiation spectrum that lies between ultraviolet and infrared light. At the molecular level, this leads to the molecules entering an excited state. When they absorb a photon of light, an electron is lifted from the highest occupied molecular orbital (HOMO) to the lowest unoccupied molecular orbital (LUMO), with respective energies E1 and E2.
![]()


![]()

The absorbed photon's energy corresponds precisely to the energy disparity between the two energy levels. This implies that the molecule can only survive in distinct energy states; the energy is "quantized" and can only be absorbed or liberated in specified portions.
UV/Vis Spectroscopy
The absorption of light in a dye solution can be measured using the Lambert-Beer law, which forms the basis for quantitative UV/Vis spectroscopy.
By manipulating the formula, the concentration of a substance, denoted as c, can be determined.
The Lambert-Beer law is applicable to monochromatic radiation. It allows obtaining the entire UV/Vis spectrum of a compound by applying absorbance across the wavelength.
However, this law loses its effectiveness with high concentration solutions and concentration-dependent reactions, including dye aggregation.
As it passes through the solution, the light beam is attenuated and part of the light is absorbed by molecules in the solution, i.e. scattering and reflection are neglected:
Therefore, it is
The Lambert-Beer law proportionality constant is a material constant that depends on wavelength, describing the transition probability for permitted excitation. Spectroscopic selection rules distinguish between allowed and forbidden transitions, with the maintenance of multiplicity being the most significant selection rule (see below). Allowed transitions have higher transition probabilities and therefore higher extinction coefficients. For organic dyes, the extinction coefficient at the long-wave absorption maximum is greater than 105 L mol-1 cm-1. These transitions are permitted within the conjugated p-electron system.
The Jablonski Diagram
The diagram illustrates a rapid absorption process lasting 10-15 to 10-14 seconds, occurring without spin reversal. The absorbed photon's energy is eventually released in various ways after the excitation state's limited lifetime has elapsed. Excluding photochemical reactions, luminescence may arise as fluorescence or phosphorescence along with the release of thermal energy. These basic photophysical processes, in which the molecule's chemical identity is preserved, can be visually illustrated through a Jablonski diagram or term scheme.
The document displays the electronic levels S0 - S2 and T1, along with the corresponding oscillation sub-levels. The diagram distinguishes between radiation processes (represented by wavy lines) and non-radiative processes (represented by dashes).
A singlet state has exclusively paired electrons, a total spin value of S = 0, while a T triplet state has two unpaired electrons, resulting in a total spin value of S = 1. This leads to the multiplicity value M = 2 S + 1 (total number of energy levels in the presence of a magnetic field). For singlet states, M equals 1, while for triplet states, M equals 3. The selection rule is to maintain the multiplicity, thus allowing transitions only within the singlet or triplet system.
Fluorescence
Fluorescence, occurring within a timespan of 10-9 to 10-7 seconds, is the emission of light that takes place during the deactivation of an excited molecule as it moves from the lowest vibrational level of the first excited singlet state S1 to the vibrational levels of the electronic ground state S0 (i.e. during transition between equal multiplicity states) in accordance with the "rule of Kasha". This means that the resulting fluorescence is not dependent on the wavelength of excitation.
Fluorescence is a phenomenon named after the luminescent mineral fluorite (CaF2) by G.G. Stokes. It can be linked empirically to certain structural features of organic molecules. Non-aromatic hydrocarbons do not exhibit fluorescence, even if they have eleven conjugated double bonds like lycopene. Aromatic compounds, on the other hand, are almost always fluorescent.
A stable and planar molecular configuration, frequently found in aromatic compounds, can be deemed essential for strong fluorescent properties in many - though not all - instances.
Extensive research has illustrated that the incorporation of specific chemical groups into aromatic hydrocarbons can diminish their fluorescence. An example of this is the nitro group, which inhibits nitrobenzene from fluorescing.
Intersystem Crossing (ISC)
Fluorescence can be reduced by incorporating bromine or iodine atoms, which is known as the internal heavy atom effect. These substituents ease the transition into the triplet system, which is usually prohibited by spin, through a larger spin-orbit coupling. The mutual transition between the isoenergetic vibration levels of the singlet and triplet systems is called "intersystem crossing" (ISC). Paramagnetic substances containing unpaired electrons, such as O2, also function as catalysts for this reaction.
Phosporescence
Phosphorescence refers to light emission that occurs during the deactivation of the vibrational ground state of the T1 triplet state in the vibrational levels of the S0 electronic ground state. Unlike fluorescence, which is only observable during excitation, phosphorescence can persist for a longer time after the excitation has ended, resulting in an "afterglow." The maintenance of multiplicity is the reason for the extended lifespan of the triplet state (10-4 to 102 s) and consequent delayed deactivation into the singlet ground state.
Stokes-Shift
Fluorescence or phosphorescence occurs from the vibrational ground state v0 of the electronically excited state S1 or T1, resulting in the emission band being bathochromically shifted to higher wavelengths compared to the excitation band. Phosphorescence is bathochromically shifted even more strongly to longer wavelengths than fluorescence.
Internal Conversion (IC)
Furthermore, a deactivation called "internal conversion" (IC) can take place, e.g. by a transition from the vibrational ground state of the first electronic excited state S1 to isoenergetic vibronic levels of the electronic ground state S0. From such higher excited vibrational levels, a vibrational relaxation (10-12 s) takes place with the release of heat. This type of non-radiative deactivation is always faster than luminescence. This process seems to be particularly effective for very flexible molecules. For this reason, aliphatic compounds almost exclusively undergo an internal transition to the electronic ground state and do not fluoresce. For most other molecules, non-radiative deactivation processes dominate luminescence processes.
Fluorescent Dyes
For very few organic dyes, the non-radiative deactivation is slow enough to allow transitions from the excited state to the ground state, where the excess energy is released by emitting a photon as fluorescence.
A fluorescent dye is characterised by its spectroscopic properties such as excitation and emission spectrum, fluorescence quantum yield (ηfl) and fluorescence decay time (Tfl). The fluorescence of the dye is independent of the excitation wavelength.
What to consider when selecting a dye as a fluorescent label is described in the corresponding section.
Spectral properties
The spectral properties of a fluorescent dye are strongly dependent on its molecular structure. For a molecule to absorb in the visible wavelength range (400 - 700 nm), the energy difference between the ground state and the excited state must be sufficiently small. The most prominent structural feature of an organic dye is a conjugated p-electron system, which called a chromophore.
Absorption of Rhodamine Dyes
In most ATTO dyes, the chromophore has a rigid molecular backbone. Many belong to the family of rhodamine dyes. The common structural element of these dyes is a carboxyphenyl substituent on the central carbon atom of a xanthene moiety.
The carboxyl group (red) is in the 2- or ortho-position and significantly influences the physicochemical properties of all rhodamines.
Due to the free ortho-carboxyl group, ATTO 565 and ATTO 590, as well as their derivatives, have special properties that must be taken into account when working with these two fluorophores. Both dyes carry an additional carboxy group in the 4- or 5-position within the phenyl ring as a coupling site, making ATTO 565 and ATTO 590 suitable as fluorescent labels:
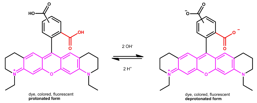
Dependency of Absorption Wavelength on pH
The ortho-carboxy group is in close proximity to the chromophore and therefore the protonation-deprotonation equilibrium of this acid functionality strongly influences the optical properties of a rhodamine dye.
Therefore, the absorption maximum of ATTO 565 and ATTO 590 is different for the protonated and deprotonated forms. For example, the absorption maximum of deprotonated (addition of triethylamine) ATTO 565 in ethanol is shifted by 16 nm to a shorter wavelength (hypsochromic) compared to the protonated dye (addition of trifluoroacetic acid):

The Dye-Spirolacton Equilibrium
ATTO 565 and ATTO 590 in their deprotonated form can form a colourless spirolactone: After nucleophilic attack by the carboxylate anion at the central carbon atom, a five-membered ring (lactone) is formed, interrupting the xanthene chromophore. As a result, the compound becomes colourless, i.e. it no longer absorbs and fluoresces in the visible region of the spectrum:
The proportion of spirolactone in the equilibrium is heavily influenced by the solvent, pH, temperature, and chemical configuration of the dye. In polar aprotic solvents, the equilibrium significantly favours spirolactone. As a result, solutions of ATTO 565 and ATTO 590 in anhydrous acetone are almost colourless. However, in polar protic solvents, such as water or ethanol, the equilibrium significantly favours the dye form.
The Fluorescence Spectrum
In general, a dye's fluorescence spectrum mirrors its long-wavelength absorption band. The ATTO 514 provides a clear example of this.
The fluorescence maximum is typically shifted to longer wavelengths by 25-40 nm compared to the absorption maximum. This is known as the Stokes shift, which is also affected by the solvent molecules' reorientation around the dye during the excited state's lifetime. Consequently, the emission originates from a solvent-relaxed state of lower energy. The greater the electron distribution alteration during excitation, the larger the energy gap between the states, resulting in an increased Stokes shift. Our ATTO LS dyes utilise this principle in a practical sense.
Fluorescence quantum yield (ηfl):
One of the key characteristics of a fluorescent dye is its fluorescence quantum yield (ηfl). This value describes the ratio of emitted photons (nfl) to absorbed photons (nabs).
ηfl = nfl / nabs
Therefore, the maximum limit of the fluorescence quantum yield is 100%. Radiationless deactivation processes frequently compete with fluorescence and, as a result, reduce the quantum yield.
For the examination of a dye using fluorescence, a high level of fluorescence quantum yield is definitely advantageous and desirable.
Fluorescence decay time (Tfl)
Refers to the duration for which a single molecule stays in the excited state after excitation with a laser pulse. This is a statistical quantity that stems from the fact that the emission of a fluorescence photon after excitation is also a statistical process. However, a well-defined decay statistic can be obtained when considering an ensemble of identical molecules. In the simplest case, the number of excited molecules decreases exponentially after excitation with a short laser pulse. The period in which the quantity of aroused molecules (n1) decreases to 1/e (around 37%) is referred to as the fluorescence decay time (Tfl).
n1(t) = n1(0) exp(- t / Tfl)
The fluorescence decay time is a significant characteristic of a dye and can aid in its recognition. Our ATTO dyes usually demonstrate nanosecond-range values for Tfl.
The process of determining the fluorescence decay time is explained elsewhere.
Molecular Interactions
The fluorescence decay time and the fluorescence quantum yield of a dye are variable and not constant. The fluorescence decay time and the fluorescence quantum yield of a dye are variable and not constant. The variables are subject to the environment of the dye, such as the solvent and temperature. Furthermore, the decay time and quantum yield of the dye have a mutual correlation, which is expressed in the following equation: The fluorescence decay time and the fluorescence quantum yield of a dye are variable and not constant.
T0= T0 × ηfl
The natural life time, also known as T0, is the duration that would happen without any radiationless deactivation (ηfl= 100%).
Thus, adjustments in fluorescence decay time could offer details on variations in the nearby surroundings of the dye molecule.
Reference
M.F. Vitha, Spectroscopy, Principles and Instrumentation, Wiley-VCH, 2018, ISBN 978-1-119-43664-5.
T. Förster, Fluoreszenz organischer Verbindungen, Vandenhoeck & Ruprecht, Göttingen, 1997 (Reprint), ISBN 3525423128
K. H. Drexhage, Structure and Properties of Laser Dyes, in: F. P. Schäfer, Dye Lasers, Springer Verlag, Berlin, Heidelberg, 1973.
M. Klessinger, J. Michl, Excited States and Photochemistry of Organic Molecules, Wiley-VCH, Weinheim, 1995, ISBN 0471185765.
W.A. Bingel, Theorie der Molekülspektren, Verlag Chemie, Weinheim, 1967.
Textbooks of Physical and Theoretical Chemistry.


















