This is a demo store. No orders will be fulfilled.
单体合成的连续流制造

一种用于眼科用途的单体生产新方法
高纯度单体是眼科产品制造中必不可少的原材料。化学杂质,甚至杂质分布的波动,都会对隐形眼镜佩戴者的安全性和舒适性产生不利影响。将供应链的复杂性增加,将生产从实验室规模扩大到全规模反应堆可能具有挑战性。此外,这些产品往往天生不稳定,导致保质期有限。这一缺点使单体和隐形眼镜生产设施的精益制造工作变得复杂。
提高单体质量的追求受到成本限制的制约,因为消费者正在转向日常一次性镜片,而不是每周或每月的选择;因此,对原材料的需求将继续上升。需要新的化学生产方法,在提高纯度的同时提高制造经济性,使隐形眼镜更实惠。创新必须实现以下目标:
· 在单一生产线上生产各种产品的灵活性
· 降低批量故障的可能性
· 优化产量和纯度水平
· 几十年来保证一致性
大多数单体合成生产路线利用传统的批量方法。这些过程包括在单个容器中引入和混合起始材料,然后进行一系列操作,如加热/冷却、反应、蒸馏、结晶、分离和/或干燥。由于同一设备必须容纳各种化学品,因此在每个生产周期后都要对设备进行清洁。尽管这些策略已经成熟,但它们并不总是能够提供满足隐形眼镜行业特定需求所需的灵活性、可扩展性和可靠性。批量生产的局限性,如混合不充分和加热和冷却反应时间延长,可能会导致次优结果甚至批量失败。
连续流制造为生产眼科应用的高纯度单体提供了一种实用且稳健的解决方案。我们在小规模实验室和全球关键原材料生产方面拥有丰富的经验,其质量水平无与伦比。
连续流动反应器系统的组件
连续流制造(CFM)利用小型化和反应器设计几何学来克服某些批量过程中遇到的限制。 CFM采用紧凑型反应器设置,可实现紧密混合和精确温度控制,从而无需延长加热或冷却时间。此外,小反应器体积(通常只有几毫升)导致反应时间短(通常以秒为单位)和副反应最小。除了提供一种经济高效的批量生产替代方案外,CFM还通过精确的过程控制提供了卓越的风险缓解措施,并有效地消除了大规模批量故障的风险。
CFM反应堆基于一个由细长管组成的网络,这些管子创造了有利的体积与表面积比。在这种几何形状内的高效混合通常通过各种方法实现,例如窄通道和静态混合元件。构成反应器的狭窄管道通常被热交换流体包围,该流体在每个“反应器”周围循环,以保持精确的温度控制。
泵、原料混合装置和收集/处理单元完成了反应设置。图1和图2描述了用于典型有机/聚合物反应的简单反应器的这种设计。

图1 & 2. 连续流动反应器的组成部分
通过选择适当的建筑材料和加热/冷却机制,CFM反应堆可以很容易地定制用于小规模生产(每天最多几公斤)。有公司开发了能够扩展到公斤级合成的专用设备,提供了广泛的功能(如图3和图4所示)。这包括为满足隐形眼镜行业的特定需求而定制的制造工艺。

图3 & 4. CFM反应堆
连续流动合成单体的例子
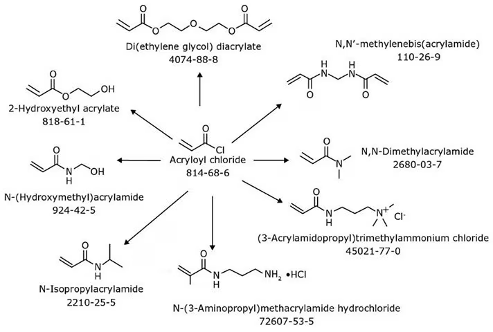
丙烯酰氯是用于眼科和其他应用的许多直接衍生的丙烯酸酯聚合物的重要前体。如下图所示,它也是中间丙烯酸酯单体的基础成分,最终转化为隐形眼镜生产中使用的聚合物。这些材料中的每一种都可以使用连续流制造(CFM)高效合成。虽然我们传统上以有限的数量供应这些单体,但采用CFM技术现在使我们能够满足工业客户的规模、纯度和批量定价要求。

CFM 执行的典型反应
· 聚合物化学
-生物医学应用单体
-聚合物合成试剂(如RAFT试剂)
· 制药和有机化学
-医药中间体(非GMP)
-试剂和催化剂(如手性催化剂、氟化试剂)
· 材料科学
-纳米粒子合成
· 特殊反应
-涉及危险物质的反应(例如叠氮化物、重氮乙酸盐、氰化物)
-支架
适合CFM的反应特征
虽然连续流制造(CFM)提供了许多优势,但并非所有化学反应都处于最佳位置以利用这些增强功能。 特别适合CFM的反应具有以下特征:
· 需要高温或低温条件的反应,这可能会限制批量过程的可扩展性。
· 在传统工厂环境中需要多次生产运行的大批量产品。
· 涉及敏感或不稳定化学物质的反应。
· 需要使用危险材料的反应。
首页
400-620-6333